2009年03月07日

技術士二次試験 合格発表

昨日、技術士二次試験の合格発表がありました。

晴れて合格された皆さん、本当におめでとうございます。
口頭試験で涙を呑んだ皆さん、筆記試験に合格する実力があるのですから、来年度に向けで頑張りましょう。

そう言う私は・・・

筆記試験に向けて、精進いたします。

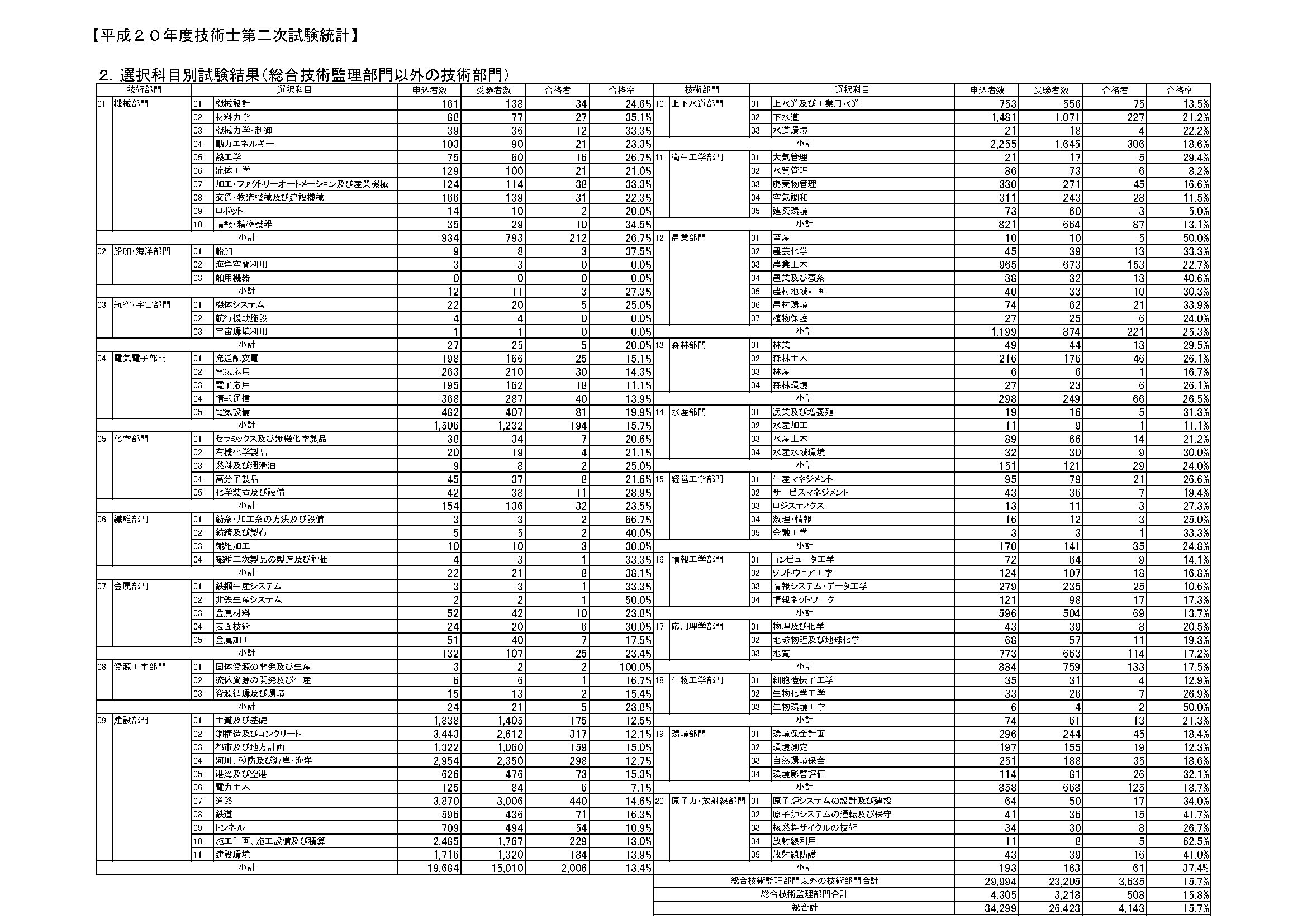
平成20年度の技術士二次試験統計情報はこちら



リンク切れのために、画像も張っておきます。

平成20年度技術士二次試験統計情報11.試験部門別試験結果












平成20年度技術士二次試験統計情報22.選択科目別試験結果
(総合技術監理部門以外の技術部門)





平成20年度技術士二次試験統計情報33.選択科目別試験結果
(総合技術監理部門)





平成20年度技術士二次試験統計情報44.試験地域別試験結果
5.年代別試験結果
6.勤務先別・最終学歴別試験結果












csh08ymatu at 11:23コメント(0)トラックバック(0)土木 | 資格 

トラックバックURL

コメントする

名前:
URL:
  情報を記憶: 評価:  顔   星
 
 
 
ブログ内検索
月別アーカイブ
アクセスカウンター
  • 累計:

プロフィール
山好き、バイク好き、車好き、スイーツ大好きの、ふつーのおやじです。
日帰りできる山を守備範囲としていますが、知床連山登山道の維持管理をしていたこともあります。
16歳からバイクに乗り続け、現在はBMW K1300Sに乗っています。
仕事は総合評価関係、技術士受験対策等を行っています。
技術士二次試験の相談にも乗りますので、メールください。
Recent Comments
related groups
読者登録
LINE読者登録QRコード
QRコード
QRコード
  • ライブドアブログ